-
알고리즘과 모델이란?Machine Learning (ML) 2022. 10. 27. 02:46
알고리즘이란 ?
[명사] 어떤 문제의 해결을 위하여, 입력된 자료를 토대로 원하는 출력을 유도하여 내는 규칙
즉, 알고리즘은
머신 러닝에서 문제를 풀기 위해 필수적으로 사용되는 방법을 말한다.
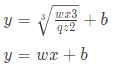
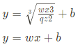
아래 수식은
알고리즘을 문자로 나타낸 형태이다.

두 개의 수식 중 보다 간단해 보이는 수식이 어떤 것 인가?
모델을 학습 시킬때는,
처음에는 간단한 알고리즘 부터 학습을 진행 시킨 뒤,
(잘 되지 않을 때) 점차 복잡한 알고리즘을 사용하는 방법이 낫다.
그럼 ,
어차피 마지막엔 복잡한 알고리즘을 사용 할 거라면, 처음부터 하면 사용하면 안될까 ?
overfiting (과적합) 이 발생할 수 있다. (n212 참조)
모델이란 ?
주어진 데이터를 알고리즘을 이용해 학습을 진행 시켜보고 일치하는 일정 값을 도출하게 되면,
학습을 종료하고 알고리즘(수식)에 일치하는 값을 넣은 것을 모델이라 칭한다.
즉, 완전한(최적의) 수식을 갖춘 형태를 말한다.
정리
데이터를 어떤 방식으로 해결할지를 정하는 것을 알고리즘 이라 하며,
선택한 알고리즘으로 데이터를 학습 시켜 도출한 값을 모델이라 한다.

'Machine Learning (ML)' 카테고리의 다른 글
선형 회귀 (Linear Regression) 모델이란? (0) 2022.10.27 Tabular Data 란? (0) 2022.10.27 머신러닝을 사용하는 이유? (0) 2022.10.26 지도학습과 비지도학습이란? (Feat. 회귀, 분류) (0) 2022.04.28 머신러닝이란? (0) 2022.04.28